调查问卷系统
请输入信息 
1、下列图形中,既是轴对称图形,又是中心对称图形的是:
A.
B.
C.
D.
 
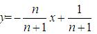
2、已知直线 ( 为正整数)与两坐标轴围成的三角形面积为 , 则 ( ):
A.
B.
C.
D.
 
  
查询和修改自己试卷  登录  返回

学校 (管理入口)